Effectuer les calculs suivants en posant les opérations :
Utiliser un ordre de grandeur pour obtenir une valeur approchée du résultat des calculs suivants :
Effectuer les opérations suivantes en posant les calculs :
Corrigé :
Poser et effectuer les calculs suivants :
Effectuer ces calculs en posant chaque opération :
Effectuer les calculs suivants en posant les opérations :
Effectuer les calculs suivants en posant les opérations :
Effectuer les calculs suivants en posant les opérations :
Antoine possédait 832,28 € sur son livret d'épargne. Pour son anniversaire, ses parents y ont déposé 75 €. Combien a-t-il maintenant sur son livret ?
Un panier plein de fruits pèse 1,836 kg. Ce panier, lorsqu'il est vide, pèse 0,425 kg. Quelle est la masse des fruits contenus dans ce panier ?
Simon veut acheter un livre. Il a 12,28 € dans son porte-monnaie et il lui manque 3,25 € pour acheter ce livre. Quel est le prix du livre ?
Une voiture consomme, en moyenne, 8,5 L d'essence pour faire 100 km. Combien consomme-t-elle d'essence pour faire 500 km ?
Un employé gagne 8,25 € de l'heure. Il travaille 35 heures par semaine. Combien gagne-t-il chaque semaine ?
Au marché, Anne a déposé dans son panier 1,2 kg de carottes, 600 g de raisins et 1,3 kg de pommes. Combien pèse le contenu de son panier ?
Mathieu a acheté 1,6 kg de poires à 2,30 € le kg. Combien a-t-il payé ?
A quatre mois d’un combat, un boxeur pèse 97,3 kg. Il fait un régime pour perdre 2,5 kg par mois.
Pourra-t-il concourir dans la catégorie Poids lourds-légers (poids inférieur à 200 livres) ?
On donne : 1 livre = 454 g
Lors d'une course de 110 m haies, il y a 10 haies de hauteur 1,067 m. La première haie se situe à 13,72 m de la ligne de départ. Deux haies successives sont espacées de 9,14 m. Quelle est la distance entre la dernière haie et la ligne d’arrivée ?
Emma a 50 € et achète trois articles à 13,75 €, 8,90 € et 11,40 €. Combien lui reste-t-il après ses achats ?
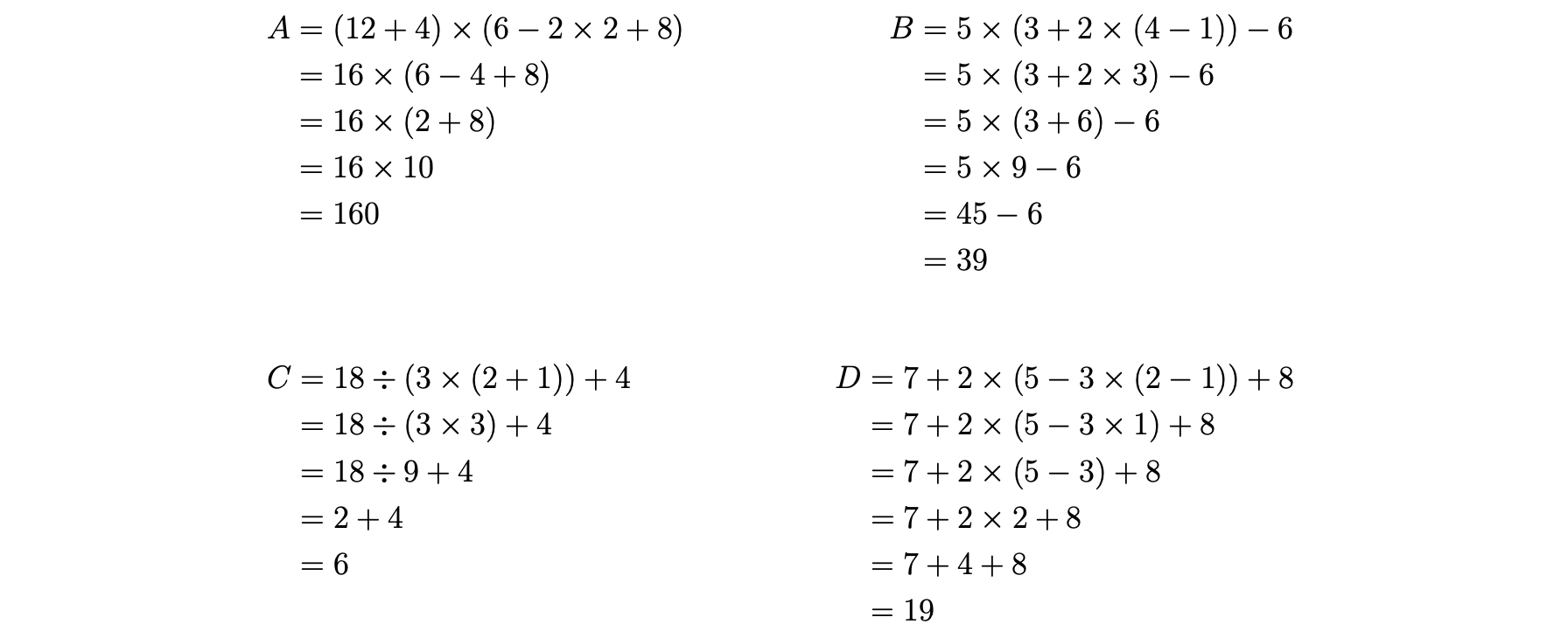
Calculer :
Calculer :
Calculer :
Calculer :
Calculer :
Calculer :
Calculer :
Calculer :
Calculer :
Utiliser un ordre de grandeur pour obtenir une valeur approchée du résultat des calculs suivants :
Utiliser un ordre de grandeur pour obtenir une valeur approchée du résultat des calculs suivants :
Utiliser un ordre de grandeur pour obtenir une valeur approchée du résultat des calculs suivants :
Utiliser un ordre de grandeur pour obtenir une valeur approchée du résultat des calculs suivants :
Utiliser un ordre de grandeur pour obtenir une valeur approchée du résultat des calculs suivants :
Utiliser un ordre de grandeur pour répondre aux situations suivantes :
Utiliser un ordre de grandeur pour répondre aux situations suivantes :
Utiliser un ordre de grandeur pour répondre aux situations suivantes :
Utiliser un ordre de grandeur pour répondre aux situations suivantes :
Utiliser un ordre de grandeur pour répondre aux situations suivantes :
Utiliser un ordre de grandeur pour répondre aux situations suivantes :
Utiliser la commutativité pour effectuer les calculs suivants :
Utiliser la commutativité pour effectuer les calculs suivants :
Utiliser la commutativité pour effectuer les calculs suivants :
Utiliser la commutativité pour effectuer les calculs suivants :
Utiliser la commutativité pour effectuer les calculs suivants :
Utiliser la commutativité pour effectuer les calculs suivants :
Utiliser la commutativité pour effectuer les calculs suivants :
Utiliser la commutativité pour effectuer les calculs suivants :
Utiliser la commutativité pour effectuer les calculs suivants :
Utiliser la commutativité pour effectuer les calculs suivants :
Complète le tableau suivant :
| Nombre | Complément à l'entier |
|---|---|
| 0,45 | |
| 0,127 | |
| 0,6 | |
| 0,82 |
| Nombre | Complément à l'entier |
|---|---|
| 0,45 | 0,55 |
| 0,127 | 0,873 |
| 0,6 | 0,4 |
| 0,82 | 0,18 |
Complète le tableau suivant :
| Nombre | Complément à l'entier |
|---|---|
| 0,05 | |
| 0,752 | |
| 0,93 | |
| 0,248 |
| Nombre | Complément à l'entier |
|---|---|
| 0,05 | 0,95 |
| 0,752 | 0,248 |
| 0,93 | 0,07 |
| 0,248 | 0,752 |
Complète le tableau suivant :
| Nombre | Complément à l'entier |
|---|---|
| 0,301 | |
| 0,77 | |
| 0,15 | |
| 0,999 |
| Nombre | Complément à l'entier |
|---|---|
| 0,301 | 0,699 |
| 0,77 | 0,23 |
| 0,15 | 0,85 |
| 0,999 | 0,001 |
Complète le tableau suivant :
| Nombre | Complément à l'entier |
|---|---|
| 0,41 | |
| 0,888 | |
| 0,64 | |
| 0,055 |
| Nombre | Complément à l'entier |
|---|---|
| 0,41 | 0,59 |
| 0,888 | 0,112 |
| 0,64 | 0,36 |
| 0,055 | 0,945 |
Effectue les additions suivantes :
Effectue les additions suivantes :
Effectue les additions suivantes :
Effectue les additions suivantes :
Effectue les soustractions suivantes :
Effectue les soustractions suivantes :
Effectue les soustractions suivantes :
Effectue les soustractions suivantes :
Effectuer les calculs suivants en utilisant la distributivité :
Effectuer les calculs suivants en utilisant la distributivité :
Effectuer les calculs suivants en utilisant la distributivité :
Effectuer les calculs suivants en utilisant la distributivité :
Effectuer les calculs suivants en utilisant la distributivité :
Effectuer les calculs suivants en utilisant la distributivité :
Effectuer les calculs suivants en utilisant la distributivité :
Effectuer les calculs suivants en utilisant la distributivité :
Exercice 1 : Calculer les puissances suivantes :
Calculer les puissances suivantes :
Calculer les puissances suivantes :
Calculer les puissances suivantes :
Calculer les expressions suivantes :
Calculer les expressions suivantes :
Calculer les expressions suivantes :
Calculer les expressions suivantes :
Écrire les nombres suivants sous la forme d'une puissance de 10 :
Écrire les nombres suivants sous la forme d'une puissance de 10 :
Écrire les nombres suivants sous la forme d'une puissance de 10 :
Écrire les nombres suivants sous la forme d'une puissance de 10 :
Effectuer les calculs suivants :
Effectuer les calculs suivants :
Effectuer les calculs suivants :
Effectuer les calculs suivants :
Effectuer les calculs suivants :
Effectuer les calculs suivants :
Effectuer les calculs suivants :
Effectuer les calculs suivants :
Effectuer les calculs suivants :
Effectuer les calculs suivants :
Simplifiez les fractions suivantes :
Simplifiez les fractions suivantes :
Simplifiez les fractions suivantes :
Simplifiez les fractions suivantes :
Simplifiez les fractions suivantes :
Simplifiez les fractions suivantes :
Simplifiez les fractions suivantes :
Simplifiez les fractions suivantes :
Simplifiez les fractions suivantes :
Simplifiez les fractions suivantes :
Simplifiez les fractions suivantes :
Simplifiez les fractions suivantes :
Calculer :
Calculer :
Calculer :
Calculer :
Calculer :
Calculer :
Calculer :
Calculer :
Calculer :
Calculer :
Calculer :
Calculer :
Donner l'écriture décimale des nombres suivants :
Donner l'écriture décimale des nombres suivants :
Donner l'écriture décimale des nombres suivants :
Donner l'écriture décimale des nombres suivants :
Donner l'écriture décimale des nombres suivants :
Donner l'écriture décimale des nombres suivants :
Montrer que les nombres suivants sont des nombres décimaux :
Montrer que les nombres suivants sont des nombres décimaux :
Montrer que les nombres suivants sont des nombres décimaux :
Montrer que les nombres suivants sont des nombres décimaux :
Montrer que les nombres suivants sont des nombres décimaux :
Montrer que les nombres suivants sont des nombres décimaux :
Écrire les nombres décimaux suivants sous la forme partie entière + partie décimale :
Écrire les nombres décimaux suivants sous la forme partie entière + partie décimale :
Écrire les nombres décimaux suivants sous la forme partie entière + partie décimale :
Écrire les nombres décimaux suivants sous la forme partie entière + partie décimale :
Écrire les nombres décimaux suivants sous la forme partie entière + partie décimale :
| Nombre | Précision | Chiffre des | Nombre des |
|---|---|---|---|
| 3,456 | millième | ||
| 78,9 | dixième | ||
| 120,05 | centième | ||
| 4500,1 | dixième |
| Nombre | Précision | Chiffre des | Nombre des |
|---|---|---|---|
| 3,456 | millième | 6 | 3456 |
| 78,9 | dixième | 9 | 789 |
| 120,05 | centième | 5 | 12005 |
| 4500,1 | dixième | 1 | 45001 |
| Nombre | Précision | Chiffre des | Nombre des |
|---|---|---|---|
| 0,0072 | dix-millième | ||
| 16,25 | centième | ||
| 89,004 | millième | ||
| 300,5 | dixième |
| Nombre | Précision | Chiffre des | Nombre des |
|---|---|---|---|
| 0,0072 | dix-millième | 2 | 72 |
| 16,25 | centième | 5 | 1625 |
| 89,004 | millième | 4 | 89004 |
| 300,5 | dixième | 5 | 3005 |
| Nombre | Précision | Chiffre des | Nombre des |
|---|---|---|---|
| 7,001 | millième | ||
| 25,75 | dixième | ||
| 125,09 | centième | ||
| 999,5 | dixième |
| Nombre | Précision | Chiffre des | Nombre des |
|---|---|---|---|
| 7,001 | millième | 1 | 7001 |
| 25,75 | dixième | 7 | 2575 |
| 125,09 | centième | 9 | 12509 |
| 999,5 | dixième | 5 | 9995 |
| Nombre | Précision | Chiffre des | Nombre des |
|---|---|---|---|
| 0,0003 | dix-millième | ||
| 450,08 | centième | ||
| 1250,7 | dixième | ||
| 1024,025 | millième |
| Nombre | Précision | Chiffre des | Nombre des |
|---|---|---|---|
| 0,0003 | dix-millième | 3 | 3 |
| 450,08 | centième | 8 | 45008 |
| 1250,7 | dixième | 7 | 12507 |
| 1024,025 | millième | 5 | 1024025 |
| Nombre | Précision | Chiffre des | Nombre des |
|---|---|---|---|
| 62,4 | dixième | ||
| 500,002 | millième | ||
| 314,159 | millième | ||
| 2048,5 | dixième |
| Nombre | Précision | Chiffre des | Nombre des |
|---|---|---|---|
| 62,4 | dixième | 4 | 624 |
| 500,002 | millième | 2 | 500002 |
| 314,159 | millième | 9 | 314159 |
| 2048,5 | dixième | 5 | 20485 |
| Nombre | Précision | Chiffre des | Nombre des |
|---|---|---|---|
| 0,045 | millième | ||
| 789,62 | centième | ||
| 1200,8 | dixième | ||
| 4096,01 | centième |
| Nombre | Précision | Chiffre des | Nombre des |
|---|---|---|---|
| 0,045 | millième | 5 | 45 |
| 789,62 | centième | 2 | 78962 |
| 1200,8 | dixième | 8 | 12008 |
| 4096,01 | centième | 1 | 409601 |
En vous inspirant des exemples du cours (fiche EN3), donner différentes écritures des nombres suivants :
1) 0,5 2) 7,25 3) 15,01 4) 103,4
\[ \begin{align*} 0,5 &= \dfrac{5}{10} \\ &= 0 + \dfrac{5}{10} \\ &= (5 \times 0,1) \end{align*} \] \[ \begin{align*} 7,25 &= \dfrac{725}{100} \\ &= 7 + 0,25 \\ &= 7 + \dfrac{25}{100} \\ &= (7 \times 1) + (2 \times 0,1) + (5 \times 0,01) \end{align*} \] \[ \begin{align*} 15,01 &= \dfrac{1501}{100} \\ &= 15 + 0,01 \\ &= 15 + \dfrac{1}{100} \\ &= (1 \times 10) + (5 \times 1) + (1 \times 0,01) \end{align*} \] \[ \begin{align*} 103,4 &= \dfrac{1034}{10} \\ &= 103 + 0,4 \\ &= 103 + \dfrac{4}{10} \\ &= (1 \times 100) + (0 \times 10) + (3 \times 1) + (4 \times 0,1) \end{align*} \]
En vous inspirant des exemples du cours (fiche EN3), donner différentes écritures des nombres suivants :
1) 0,125 2) 2,5 3) 9,75 4) 48,01
\[ \begin{align*} 0,125 &= \dfrac{125}{1000} \\ &= 0 + \dfrac{125}{1000} \\ &= (1 \times 0,1) + (2 \times 0,01) + (5 \times 0,001) \end{align*} \] \[ \begin{align*} 2,5 &= \dfrac{25}{10} \\ &= 2 + 0,5 \\ &= 2 + \dfrac{5}{10} \\ &= (2 \times 1) + (5 \times 0,1) \end{align*} \] \[ \begin{align*} 9,75 &= \dfrac{975}{100} \\ &= 9 + 0,75 \\ &= 9 + \dfrac{75}{100} \\ &= (9 \times 1) + (7 \times 0,1) + (5 \times 0,01) \end{align*} \] \[ \begin{align*} 48,01 &= \dfrac{4801}{100} \\ &= 48 + 0,01 \\ &= 48 + \dfrac{1}{100} \\ &= (4 \times 10) + (8 \times 1) + (1 \times 0,01) \end{align*} \]
En vous inspirant des exemples du cours (fiche EN3), donner différentes écritures des nombres suivants :
1) 0,002 2) 1,05 3) 12,125 4) 75,3
\[ \begin{align*} 0,002 &= \dfrac{2}{1000} \\ &= 0 + \dfrac{2}{1000} \\ &= (2 \times 0,001) \end{align*} \] \[ \begin{align*} 1,05 &= \dfrac{105}{100} \\ &= 1 + 0,05 \\ &= 1 + \dfrac{5}{100} \\ &= (1 \times 1) + (5 \times 0,01) \end{align*} \] \[ \begin{align*} 12,125 &= \dfrac{12125}{1000} \\ &= 12 + 0,125 \\ &= 12 + \dfrac{125}{1000} \\ &= (1 \times 10) + (2 \times 1) + (1 \times 0,1) + (2 \times 0,01) + (5 \times 0,001) \end{align*} \] \[ \begin{align*} 75,3 &= \dfrac{753}{10} \\ &= 75 + 0,3 \\ &= 75 + \dfrac{3}{10} \\ &= (7 \times 10) + (5 \times 1) + (3 \times 0,1) \end{align*} \]
En vous inspirant des exemples du cours (fiche EN3), donner différentes écritures des nombres suivants :
1) 0,75 2) 6,125 3) 14,01 4) 123,456
\[ \begin{align*} 0,75 &= \dfrac{75}{100} \\ &= 0 + 0,75 \\ &= 0 + \dfrac{75}{100} \\ &= (7 \times 0,1) + (5 \times 0,01) \end{align*} \] \[ \begin{align*} 6,125 &= \dfrac{6125}{1000} \\ &= 6 + 0,125 \\ &= 6 + \dfrac{125}{1000} \\ &= (6 \times 1) + (1 \times 0,1) + (2 \times 0,01) + (5 \times 0,001) \end{align*} \] \[ \begin{align*} 14,01 &= \dfrac{1401}{100} \\ &= 14 + 0,01 \\ &= 14 + \dfrac{1}{100} \\ &= (1 \times 10) + (4 \times 1) + (1 \times 0,01) \end{align*} \] \[ \begin{align*} 123,456 &= \dfrac{123456}{1000} \\ &= 123 + 0,456 \\ &= 123 + \dfrac{456}{1000} \\ &= (1 \times 100) + (2 \times 10) + (3 \times 1) + (4 \times 0,1) + (5 \times 0,01) + (6 \times 0,001) \end{align*} \]
En vous inspirant des exemples du cours (fiche EN3), donner différentes écritures des nombres suivants :
1) 0,04 2) 18,5 3) 250,007 4) 1000,2
\[ \begin{align*} 0{,}04 &= \dfrac{4}{100} \\ &= 0 + 0{,}04 \\ &= 0 + \dfrac{4}{100} \\ &= (4 \times 0{,}01) \end{align*} \] \[ \begin{align*} 18{,}5 &= \dfrac{185}{10} \\ &= 18 + 0{,}5 \\ &= 18 + \dfrac{5}{10} \\ &= (1 \times 10) + (8 \times 1) + (5 \times 0{,}1) \end{align*} \] \[ \begin{align*} 250{,}007 &= \dfrac{250007}{1000} \\ &= 250 + 0{,}007 \\ &= 250 + \dfrac{7}{1000} \\ &= (2 \times 100) + (5 \times 10) + (7 \times 0{,}001) \end{align*} \] \[ \begin{align*} 1000{,}2 &= \dfrac{10002}{10} \\ &= 1000 + 0{,}2 \\ &= 1000 + \dfrac{2}{10} \\ &= (1 \times 1000) + (2 \times 0{,}1) \end{align*} \]
En vous inspirant des exemples du cours (fiche EN3), donner différentes écritures des nombres suivants :
1) 0,001 2) 3,141 3) 72,08 4) 905,025
\[ \begin{align*} 0{,}001 &= \dfrac{1}{1000} \\ &= 0 + 0{,}001 \\ &= 0 + \dfrac{1}{1000} \\ &= (1 \times 0{,}001) \end{align*} \] \[ \begin{align*} 3{,}141 &= \dfrac{3141}{1000} \\ &= 3 + 0{,}141 \\ &= 3 + \dfrac{141}{1000} \\ &= (3 \times 1) + (1 \times 0{,}1) + (4 \times 0{,}01) + (1 \times 0{,}001) \end{align*} \] \[ \begin{align*} 72{,}08 &= \dfrac{7208}{100} \\ &= 72 + 0{,}08 \\ &= 72 + \dfrac{8}{100} \\ &= (7 \times 10) + (2 \times 1) + (8 \times 0{,}01) \end{align*} \] \[ \begin{align*} 905{,}025 &= \dfrac{905025}{1000} \\ &= 905 + 0{,}025 \\ &= 905 + \dfrac{25}{1000} \\ &= (9 \times 100) + (0 \times 10) + (5 \times 1) + (2 \times 0{,}01) + (5 \times 0{,}001) \end{align*} \]
En vous inspirant des exemples du cours (fiche EN3), donner différentes écritures des nombres suivants :
1) 0,09 2) 11,11 3) 64,2 4) 789,006
\[ \begin{align*} 0{,}09 &= \dfrac{9}{100} \\ &= 0 + 0{,}09 \\ &= 0 + \dfrac{9}{100} \\ &= (9 \times 0{,}01) \end{align*} \] \[ \begin{align*} 11{,}11 &= \dfrac{1111}{100} \\ &= 11 + 0{,}11 \\ &= 11 + \dfrac{11}{100} \\ &= (1 \times 10) + (1 \times 1) + (1 \times 0{,}1) + (1 \times 0{,}01) \end{align*} \] \[ \begin{align*} 64{,}2 &= \dfrac{642}{10} \\ &= 64 + 0{,}2 \\ &= 64 + \dfrac{2}{10} \\ &= (6 \times 10) + (4 \times 1) + (2 \times 0{,}1) \end{align*} \] \[ \begin{align*} 789{,}006 &= \dfrac{789006}{1000} \\ &= 789 + 0{,}006 \\ &= 789 + \dfrac{6}{1000} \\ &= (7 \times 100) + (8 \times 10) + (9 \times 1) + (6 \times 0{,}001) \end{align*} \]
En vous inspirant des exemples du cours (fiche EN3), donner différentes écritures des nombres suivants :
1) 0,625 2) 8,04 3) 56,75 4) 402,003
\[ \begin{align*} 0{,}625 &= \dfrac{625}{1000} \\ &= 0 + 0{,}625 \\ &= 0 + \dfrac{625}{1000} \\ &= (6 \times 0{,}1) + (2 \times 0{,}01) + (5 \times 0{,}001) \end{align*} \] \[ \begin{align*} 8{,}04 &= \dfrac{804}{100} \\ &= 8 + 0{,}04 \\ &= 8 + \dfrac{4}{100} \\ &= (8 \times 1) + (4 \times 0{,}01) \end{align*} \] \[ \begin{align*} 56{,}75 &= \dfrac{5675}{100} \\ &= 56 + 0{,}75 \\ &= 56 + \dfrac{75}{100} \\ &= (5 \times 10) + (6 \times 1) + (7 \times 0{,}1) + (5 \times 0{,}01) \end{align*} \] \[ \begin{align*} 402{,}003 &= \dfrac{402003}{1000} \\ &= 402 + 0{,}003 \\ &= 402 + \dfrac{3}{1000} \\ &= (4 \times 100) + (0 \times 10) + (2 \times 1) + (3 \times 0{,}001) \end{align*} \]
En vous inspirant des exemples du cours (fiche EN3), donner différentes écritures des nombres suivants :
1) 0,0025 2) 1,2 3) 35,005 4) 1200,08
\[ \begin{align*} 0{,}0025 &= \dfrac{25}{10000} \\ &= 0 + 0{,}0025 \\ &= 0 + \dfrac{25}{10000} \\ &= (2 \times 0{,}001) + (5 \times 0{,}0001) \end{align*} \] \[ \begin{align*} 1{,}2 &= \dfrac{12}{10} \\ &= 1 + 0{,}2 \\ &= 1 + \dfrac{2}{10} \\ &= (1 \times 1) + (2 \times 0{,}1) \end{align*} \] \[ \begin{align*} 35{,}005 &= \dfrac{35005}{1000} \\ &= 35 + 0{,}005 \\ &= 35 + \dfrac{5}{1000} \\ &= (3 \times 10) + (5 \times 1) + (5 \times 0{,}001) \end{align*} \] \[ \begin{align*} 1200{,}08 &= \dfrac{120008}{100} \\ &= 1200 + 0{,}08 \\ &= 1200 + \dfrac{8}{100} \\ &= (1 \times 1000) + (2 \times 100) + (8 \times 0{,}01) \end{align*} \]
En vous inspirant des exemples du cours (fiche EN3), donner différentes écritures des nombres suivants :
1) 0,333 2) 9,01 3) 47,5 4) 1025,4
\[ \begin{align*} 0{,}333 &= \dfrac{333}{1000} \\ &= 0 + 0{,}333 \\ &= 0 + \dfrac{333}{1000} \\ &= (3 \times 0{,}1) + (3 \times 0{,}01) + (3 \times 0{,}001) \end{align*} \] \[ \begin{align*} 9{,}01 &= \dfrac{901}{100} \\ &= 9 + 0{,}01 \\ &= 9 + \dfrac{1}{100} \\ &= (9 \times 1) + (1 \times 0{,}01) \end{align*} \] \[ \begin{align*} 47{,}5 &= \dfrac{475}{10} \\ &= 47 + 0{,}5 \\ &= 47 + \dfrac{5}{10} \\ &= (4 \times 10) + (7 \times 1) + (5 \times 0{,}1) \end{align*} \] \[ \begin{align*} 1025{,}4 &= \dfrac{10254}{10} \\ &= 1025 + 0{,}4 \\ &= 1025 + \dfrac{4}{10} \\ &= (1 \times 1000) + (0 \times 100) + (2 \times 10) + (5 \times 1) + (4 \times 0{,}1) \end{align*} \]
Utiliser les symboles \(<\), \(>\) ou \(=\) pour comparer les nombres suivants :
6,25 < 6,52
4,07 < 4,7
8,105 < 8,15
12,5 = 12,50
0,999 < 1,0
3,456 < 3,465
7,8 = 7,80
15,003 < 15,03
Utiliser les symboles \(<\), \(>\) ou \(=\) pour comparer les nombres suivants :
2,45 < 2,54
9,08 < 9,8
6,001 < 6,01
10,75 = 10,750
0,505 > 0,5005
18,2 = 18,20
7,999 < 8,0
0,123 < 0,132
Utiliser les symboles \(<\), \(>\) ou \(=\) pour comparer les nombres suivants :
1,234 < 1,243
0,89 > 0,809
14,56 = 14,560
20,001 < 20,01
3,333 < 3,34
9,07 = 9,070
11,099 < 11,19
0,445 < 0,454
Utiliser les symboles \(<\), \(>\) ou \(=\) pour comparer les nombres suivants :
5,678 < 5,687
0,505 < 0,55
13,07 < 13,7
42,1 = 42,100
2,009 < 2,09
16,88 = 16,880
0,777 < 0,787
99,99 < 100,0
Utiliser les symboles \(<\), \(>\) ou \(=\) pour comparer les nombres suivants :
\(\dfrac{5}{2}=2,5 \;\Rightarrow\; =\)
\(\dfrac{11}{4}=2,75 \;\Rightarrow\; =\)
0,125 = \(\dfrac{1}{8}\)
\(\dfrac{9}{10}=0,9 < 0,91\)
1,2 = \(\dfrac{6}{5}\)
\(\dfrac{7}{20}=0,35\;\Rightarrow\; =\)
2,25 = \(\dfrac{9}{4}\)
Utiliser les symboles \(<\), \(>\) ou \(=\) pour comparer les nombres suivants :
\(\dfrac{13}{5}=2,6 \;\Rightarrow\; =\)
1,125 = \(\dfrac{9}{8}\)
\(\dfrac{17}{20}=0,85 \;\Rightarrow\; =\)
0,375 = \(\dfrac{3}{8}\)
\(\dfrac{21}{10}=2,1 > 2,05\)
4,5 = \(\dfrac{9}{2}\)
\(\dfrac{7}{25}=0,28 \;\Rightarrow\; =\)
Utiliser les symboles \(<\), \(>\) ou \(=\) pour comparer les nombres suivants :
0,2 = \(\dfrac{1}{5}\)
\(\dfrac{23}{4}=5,75 \;\Rightarrow\; =\)
1,333… = \(\dfrac{4}{3}\)
\(\dfrac{19}{10}=1,9 \;\Rightarrow\; =\)
2,125 = \(\dfrac{17}{8}\)
\(\dfrac{31}{50}=0,62 \;\Rightarrow\; =\)
0,05 = \(\dfrac{1}{20}\)
Utiliser les symboles \(<\), \(>\) ou \(=\) pour comparer les nombres suivants :
\(\dfrac{49}{20}=2,45 \;\Rightarrow\; =\)
0,875 = \(\dfrac{7}{8}\)
\(\dfrac{101}{50}=2,02 > 2,01\)
3,2 = \(\dfrac{16}{5}\)
\(\dfrac{29}{40}=0,725 \;\Rightarrow\; =\)
7,5 = \(\dfrac{15}{2}\)
0,333… = \(\dfrac{1}{3}\)
Ranger les nombres suivants dans l’ordre indiqué :
Ranger les nombres suivants dans l’ordre indiqué :
Ranger les nombres suivants dans l’ordre indiqué :
Ranger les nombres suivants dans l’ordre indiqué :
Résoudre les problèmes suivants :
Résoudre les problèmes suivants :
Résoudre les problèmes suivants :
Résoudre les problèmes suivants :
| nombre | précision | valeur approchée par défaut | valeur approchée par excès | arrondi |
|---|---|---|---|---|
| 4,567 | au centième | 4,56 | 4,57 | 4,57 |
| 12,345 | au dixième | 12,3 | 12,4 | 12,3 |
| 99,98 | à l’unité | 99 | 100 | 100 |
| 7,001 | au millième | 7,001 | 7,002 | 7,001 |
Recopier et compléter le tableau suivant :
| nombre | précision | valeur approchée par défaut | valeur approchée par excès | arrondi |
|---|---|---|---|---|
| 0,789 | au centième | |||
| 23,4567 | au millième | |||
| 45,678 | au dixième | |||
| 102,3 | à la dizaine |
| nombre | précision | valeur approchée par défaut | valeur approchée par excès | arrondi |
|---|---|---|---|---|
| 0,789 | au centième | 0,78 | 0,79 | 0,79 |
| 23,4567 | au millième | 23,456 | 23,457 | 23,457 |
| 45,678 | au dixième | 45,6 | 45,7 | 45,7 |
| 102,3 | à la dizaine | 100 | 110 | 100 |
Recopier et compléter le tableau suivant :
| nombre | précision | valeur approchée par défaut | valeur approchée par excès | arrondi |
|---|---|---|---|---|
| 8,9456 | au millième | |||
| 0,12345 | au centième | |||
| 56,789 | au dixième | |||
| 99,99 | à l’unité |
| nombre | précision | valeur approchée par défaut | valeur approchée par excès | arrondi |
|---|---|---|---|---|
| 8,9456 | au millième | 8,945 | 8,946 | 8,946 |
| 0,12345 | au centième | 0,12 | 0,13 | 0,12 |
| 56,789 | au dixième | 56,7 | 56,8 | 56,8 |
| 99,99 | à l’unité | 99 | 100 | 100 |
Recopier et compléter le tableau suivant :
| nombre | précision | valeur approchée par défaut | valeur approchée par excès | arrondi |
|---|---|---|---|---|
| 3,14159 | au millième | |||
| 12,34 | au dixième | |||
| 250,256 | au centième | |||
| 6200,5 | à l’unité |
| nombre | précision | valeur approchée par défaut | valeur approchée par excès | arrondi |
|---|---|---|---|---|
| 3,14159 | au millième | 3,141 | 3,142 | 3,142 |
| 12,34 | au dixième | 12,3 | 12,4 | 12,3 |
| 250,256 | au centième | 250,25 | 250,26 | 250,26 |
| 6200,5 | à l’unité | 6200 | 6201 | 6201 |
| nombre | précision | valeur approchée par défaut | valeur approchée par excès | arrondi |
|---|---|---|---|---|
| 3,14159 | au millième | 3,141 | 3,142 | 3,142 |
| 12,34 | au dixième | 12,3 | 12,4 | 12,3 |
| 250,256 | au centième | 250,25 | 250,26 | 250,26 |
| 6200,5 | à l’unité | 6200 | 6201 | 6201 |
Recopier et compléter le tableau suivant :
| nombre | précision | valeur approchée par défaut | valeur approchée par excès | arrondi |
|---|---|---|---|---|
| 18,2765 | au millième | |||
| 0,904 | au centième | |||
| 73,15 | au dixième | |||
| 999,5 | à la dizaine |
Recopier et compléter le tableau suivant :
| nombre | précision | valeur approchée par défaut | valeur approchée par excès | arrondi |
|---|---|---|---|---|
| 2,399 | au centième | |||
| 45,781 | au millième | |||
| 120,04 | au centième | |||
| 8,65 | au dixième |
| nombre | précision | valeur approchée par défaut | valeur approchée par excès | arrondi |
|---|---|---|---|---|
| 2,399 | au centième | 2,39 | 2,40 | 2,40 |
| 45,781 | au millième | 45,781 | 45,782 | 45,781 |
| 120,04 | au centième | 120,04 | 120,05 | 120,04 |
| 8,65 | au dixième | 8,6 | 8,7 | 8,7 |
Recopier et compléter le tableau suivant :
| nombre | précision | valeur approchée par défaut | valeur approchée par excès | arrondi |
|---|---|---|---|---|
| 0,0059 | au millième | |||
| 67,444 | à la dizaine | |||
| 13,499 | au centième | |||
| 250,5 | à la centaine |
| nombre | précision | valeur approchée par défaut | valeur approchée par excès | arrondi |
|---|---|---|---|---|
| 0,0059 | au millième | 0,005 | 0,006 | 0,006 |
| 67,444 | à la dizaine | 60 | 70 | 70 |
| 13,499 | au centième | 13,49 | 13,50 | 13,50 |
| 250,5 | à la centaine | 200 | 300 | 300 |
Recopier et compléter le tableau suivant :
| nombre | précision | valeur approchée par défaut | valeur approchée par excès | arrondi |
|---|---|---|---|---|
| 5,000 | au millième | |||
| 32,749 | au dixième | |||
| 0,078 | au centième | |||
| 149,9 | à l’unité |
Recopier et compléter le tableau suivant :
| nombre | précision | valeur approchée par défaut | valeur approchée par excès | arrondi |
|---|---|---|---|---|
| 5,000 | au millième | |||
| 32,749 | au dixième | |||
| 0,078 | au centième | |||
| 149,9 | à l’unité |
Recopier et compléter le tableau suivant :
| nombre | précision | valeur approchée par défaut | valeur approchée par excès | arrondi |
|---|---|---|---|---|
| 86,305 | au centième | |||
| 0,999 | au dixième | |||
| 7,1204 | au millième | |||
| 430,1 | à la dizaine |
Recopier et compléter le tableau suivant :
| nombre | précision | valeur approchée par défaut | valeur approchée par excès | arrondi |
|---|---|---|---|---|
| 86,305 | au centième | |||
| 0,999 | au dixième | |||
| 7,1204 | au millième | |||
| 430,1 | à la dizaine |
Recopier et compléter le tableau suivant :
| nombre | précision | valeur approchée par défaut | valeur approchée par excès | arrondi |
|---|---|---|---|---|
| 3,14159 | au millième | |||
| 27,50 | à l’unité | |||
| 0,450 | au centième | |||
| 999,99 | à la centaine |
| nombre | précision | valeur approchée par défaut | valeur approchée par excès | arrondi |
|---|---|---|---|---|
| 3,14159 | au millième | 3,141 | 3,142 | 3,142 |
| 27,50 | à l’unité | 27 | 28 | 28 |
| 0,450 | au centième | 0,45 | 0,46 | 0,45 |
| 999,99 | à la centaine | 900 | 1000 | 1000 |






Pour chaque question, construire une demi-droite graduée adaptée pour placer les points donnés.
Pour chaque question, construire une demi-droite graduée adaptée pour placer les points donnés.
Pour chaque question, construire une demi-droite graduée adaptée pour placer les points donnés.
Pour chaque question, construire une demi-droite graduée adaptée pour placer les points donnés.
Pour chaque question, construire une demi-droite graduée adaptée pour placer les points donnés.
Pour chaque question, construire une demi-droite graduée adaptée pour placer les points donnés.
Tous les résultats seront présentés sous la forme de l'égalité euclidienne. Le calcul posé n'est pas demandé.
Tous les résultats seront présentés sous la forme de l'égalité euclidienne. Le calcul posé n'est pas demandé.
Tous les résultats seront présentés sous la forme de l'égalité euclidienne. Le calcul posé n'est pas demandé.
Tous les résultats seront présentés sous la forme de l'égalité euclidienne. Le calcul posé n'est pas demandé.
Tous les résultats seront présentés sous la forme de l'égalité euclidienne. Le calcul posé n'est pas demandé.
Tous les résultats seront présentés sous la forme de l'égalité euclidienne. Le calcul posé n'est pas demandé.
\(210 \quad 315 \quad 402 \quad 509 \quad 612 \quad 721\)
\(216 \quad 420 \quad 308 \quad 515 \quad 624 \quad 732\)
\(205 \quad 314 \quad 420 \quad 506 \quad 625 \quad 711\)
\(225 \quad 333 \quad 504 \quad 715 \quad 810 \quad 912\)
11 et 31 sont premiers.
Primes < 30 : 2,3,5,7,11,13,17,19,23,29.
29 n’a pas de diviseur ≤ √29 ≈ 5, vérifié → c’est premier.
Dans une école, les élèves de 6e choisissent un sport : natation, judo ou danse.
En 6e A, il y a 24 élèves : 10 ont choisi natation, 8 judo et les autres danse.
En 6e B, 9 élèves ont choisi natation et 7 judo.
Au total, 14 élèves ont choisi danse dans les deux classes.
Présenter ces données dans un tableau à double entrée.
| Natation | Judo | Danse | Total | |
|---|---|---|---|---|
| 6e A | 10 | 8 | 6 | 24 |
| 6e B | 9 | 7 | 8 | 24 |
| Total | 19 | 15 | 14 | 48 |
Lors d’un atelier artistique, les élèves peuvent choisir entre théâtre, musique ou dessin.
En 4e C, il y a 20 élèves : 7 ont choisi théâtre, 5 musique et les autres dessin.
En 4e D, 6 élèves ont choisi théâtre et 8 musique.
Dans ces deux classes, 14 élèves ont choisi dessin.
Présenter ces données dans un tableau à double entrée.
| Théâtre | Musique | Dessin | Total | |
|---|---|---|---|---|
| 4e C | 7 | 5 | 8 | 20 |
| 4e D | 6 | 8 | 6 | 20 |
| Total | 13 | 13 | 14 | 40 |
Dans un collège, les élèves choisissent une option : latin, italien ou grec.
En 3e E, il y a 28 élèves : 12 ont choisi latin, 9 italien et les autres grec.
En 3e F, 10 élèves ont choisi latin et 7 italien.
Dans l’ensemble des deux classes, 18 élèves ont choisi grec.
Présenter ces données dans un tableau à double entrée.
| Latin | Italien | Grec | Total | |
|---|---|---|---|---|
| 3e E | 12 | 9 | 7 | 28 |
| 3e F | 10 | 7 | 11 | 28 |
| Total | 22 | 16 | 18 | 56 |
Un responsable de cantine prépare l’équipement pour trois réfectoires : A, B et C.
En tout, il commande 90 assiettes et 60 verres.
Dans le réfectoire A, il faut 20 assiettes, 10 verres et 2 carafes.
Dans le réfectoire B, il faut 30 assiettes, 20 verres et 3 carafes.
Le reste des assiettes et des verres sont pour le réfectoire C, ainsi que 4 carafes.
Au total, il commande 9 carafes.
| Assiettes | Verres | Carafes | Total | |
|---|---|---|---|---|
| Réfectoire A | 20 | 10 | 2 | 32 |
| Réfectoire B | 30 | 20 | 3 | 53 |
| Réfectoire C | 40 | 30 | 4 | 74 |
| Total | 90 | 60 | 9 | 159 |
2) Total vaisselle (assiettes + verres) : \(90+60=150\).
3) Le réfectoire C reçoit le plus de matériel (74 objets).
Un professeur de sport commande du matériel pour ses 3 groupes : débutants, intermédiaires et avancés.
Au total, il prévoit 30 ballons et 24 plots.
Pour les débutants : 12 ballons, 6 plots et 4 cordes à sauter.
Pour les intermédiaires : 10 ballons, 8 plots et 3 cordes à sauter.
Le reste des ballons et plots sont pour les avancés, qui reçoivent aussi 5 cordes à sauter.
En tout, il commande 12 cordes à sauter.
| Ballons | Plots | Cordes | Total | |
|---|---|---|---|---|
| Débutants | 12 | 6 | 4 | 22 |
| Intermédiaires | 10 | 8 | 3 | 21 |
| Avancés | 8 | 10 | 5 | 23 |
| Total | 30 | 24 | 12 | 66 |
2) Ballons + plots : \(30+24=54\).
3) Le groupe intermédiaires a le moins de matériel (21 objets).
Une bibliothécaire répartit du mobilier pour trois espaces : enfants, ados et adultes.
Elle commande 60 étagères et 90 chaises au total.
Pour l’espace enfants : 10 étagères, 20 chaises et 5 poufs.
Pour l’espace ados : 15 étagères, 25 chaises et 4 poufs.
Le reste est pour l’espace adultes, qui reçoit aussi 6 poufs.
En tout, 15 poufs sont commandés.
| Étagères | Chaises | Poufs | Total | |
|---|---|---|---|---|
| Enfants | 10 | 20 | 5 | 35 |
| Ados | 15 | 25 | 4 | 44 |
| Adultes | 35 | 45 | 6 | 86 |
| Total | 60 | 90 | 15 | 165 |
2) Total meubles (étagères + chaises) : \(60+90=150\).
3) L’espace adultes reçoit le plus grand nombre de meubles (86).
Dans une bibliothèque, on a compté les livres empruntés en une semaine :
| Lundi | Mardi | Mercredi | Total | |
|---|---|---|---|---|
| Romans | 15 | 12 | 18 | 45 |
| Bandes dessinées | 8 | 10 | 12 | 30 |
| Documentaires | 5 | 7 | 8 | 20 |
Un magasin vend trois types de fruits en une journée :
| Pommes | Poires | Bananes | Total | |
|---|---|---|---|---|
| Matin | 40 | 25 | 30 | 95 |
| Après-midi | 35 | 20 | 25 | 80 |
Les résultats d’un sondage dans deux classes :
| Chocolat | Vanille | Fraise | Total | |
|---|---|---|---|---|
| Classe A | 12 | 8 | 5 | 25 |
| Classe B | 10 | 7 | 8 | 25 |
Un cinéma comptabilise les spectateurs :
| Matin | Après-midi | Soir | Total | |
|---|---|---|---|---|
| Salle 1 | 80 | 120 | 100 | 300 |
| Salle 2 | 60 | 90 | 110 | 260 |
Une association distribue des repas :
| Lundi | Mardi | Mercredi | Total | |
|---|---|---|---|---|
| Adultes | 35 | 40 | 30 | 105 |
| Enfants | 25 | 30 | 20 | 75 |
Une école compte les fournitures données aux élèves :
| Cahiers | Stylos | Règles | Total | |
|---|---|---|---|---|
| Classe 6e A | 30 | 40 | 15 | 85 |
| Classe 6e B | 25 | 35 | 20 | 80 |
Voici les ventes de glaces en une journée :
| Parfum | Chocolat | Vanille | Fraise | Pistache |
|---|---|---|---|---|
| Ventes | 20 | 15 | 10 | 5 |
Représenter ces données dans un diagramme en bâtons.
Nombre de livres empruntés selon les genres :
| Genre | Romans | BD | Documentaires |
|---|---|---|---|
| Emprunts | 25 | 18 | 12 |
Répartition des animaux dans une ferme :
| Animal | Poules | Moutons | Vaches | Cochons |
|---|---|---|---|---|
| Effectif | 30 | 12 | 8 | 10 |
Nombre d’élèves inscrits à chaque club :
| Club | Théâtre | Musique | Danse |
|---|---|---|---|
| Élèves | 14 | 20 | 16 |
Résultats d’un sondage sur les moyens de transport :
| Transport | Voiture | Vélo | Bus | Marche |
|---|---|---|---|---|
| Nombre | 22 | 10 | 15 | 8 |
Nombre de films regardés par un groupe d’amis :
| Genre | Action | Comédie | Drame |
|---|---|---|---|
| Films vus | 12 | 18 | 10 |
Observe le diagramme puis réponds :
Observe le diagramme puis réponds :
Observe le diagramme puis réponds :
Observe le diagramme puis réponds :
Distance (km) parcourue en fonction du temps (h).
1. À \(2\,\text{h}\), le point est à \(8\,\text{km}\). 2. À \(16\,\text{km}\), on lit \(4\,\text{h}\). 3. Vitesse moyenne : \(\dfrac{20}{5}=4\ \text{km/h}\).
Hauteur (cm) en fonction des jours après germination.
Température (°C) en fonction du temps (min).
1. À 5 min, la température est \(85^\circ\text{C}\). 2. On atteint \(60^\circ\text{C}\) à 15 min. 3. Entre 5 et 25 min, la baisse est \(85-40=45^\circ\text{C}\).
Distance (km) en fonction du temps (min).
Consommation (kWh) selon l’heure de la journée.
1. La consommation est maximale à 18h (\(8\ \text{kWh}\)). 2. À 12h, elle est de \(6\ \text{kWh}\). 3. Entre 6h et 12h, l’augmentation est \(6-2=4\ \text{kWh}\).
Poids (kg) en fonction de l’âge (années).
1. À 3 ans, le poids est \(14\ \text{kg}\). 2. On atteint \(17\ \text{kg}\) à 4 ans. 3. Gain moyen : \(\dfrac{19-9}{5-1}=2{,}5\ \text{kg/an}\).
On a relevé la distance parcourue par un cycliste :
| Temps (h) | 1 | 2 | 3 | 4 |
|---|---|---|---|---|
| Distance (km) | 12 | 24 | 36 | 48 |
Représenter graphiquement ces données.
On mesure la taille d’un enfant au fil des années :
| Âge (ans) | 1 | 2 | 3 | 4 | 5 |
|---|---|---|---|---|---|
| Taille (cm) | 75 | 85 | 95 | 104 | 112 |
Tracer le graphique représentant la croissance.
Une famille note sa consommation d’eau chaque mois :
| Mois | Janv | Févr | Mars | Avril | Mai |
|---|---|---|---|---|---|
| Consommation (m³) | 12 | 10 | 14 | 18 | 20 |
Construire un graphique représentant cette évolution.
On a relevé la température extérieure toutes les 2 heures :
| Heure | 6h | 8h | 10h | 12h | 14h | 16h |
|---|---|---|---|---|---|---|
| Température (°C) | 12 | 15 | 18 | 22 | 25 | 23 |
Tracer le graphique représentant l’évolution de la température.
Un cinéma enregistre les recettes hebdomadaires suivantes (en milliers d’euros) :
| Semaine | 1 | 2 | 3 | 4 | 5 |
|---|---|---|---|---|---|
| Recettes (k€) | 20 | 25 | 22 | 30 | 28 |
Tracer le graphique des recettes en fonction des semaines.
Un marchand vend des pommes. Voici les prix relevés :
| Quantité (kg) | 2 | 4 | 6 |
|---|---|---|---|
| Prix (€) | 5 | 10 | 15 |
Cette situation est-elle une situation de proportionnalité ?
On calcule les rapports Prix / Quantité :
\( \tfrac{5}{2} = 2,5 \quad ; \quad \tfrac{10}{4} = 2,5 \quad ; \quad \tfrac{15}{6} = 2,5 \).
Tous les rapports sont égaux à \(2,5\). C’est donc une situation de proportionnalité, de coefficient \(2,5\).
On mesure la consommation d’essence d’une voiture :
| Distance (km) | 100 | 200 | 300 |
|---|---|---|---|
| Essence (L) | 8 | 16 | 30 |
Est-ce une situation de proportionnalité ?
On calcule les rapports Essence / Distance :
\( \tfrac{8}{100} = 0,08 \quad ; \quad \tfrac{16}{200} = 0,08 \quad ; \quad \tfrac{30}{300} = 0,1 \).
Les deux premiers rapports sont égaux, mais le dernier est différent. Ce n’est pas une situation de proportionnalité.
Voici les quantités de farine nécessaires pour réaliser plusieurs gâteaux :
| Nombre de gâteaux | 1 | 2 | 5 |
|---|---|---|---|
| Farine (g) | 200 | 400 | 1000 |
S’agit-il d’une situation de proportionnalité ?
On calcule les rapports Farine / Nombre de gâteaux :
\( \tfrac{200}{1} = 200 \quad ; \quad \tfrac{400}{2} = 200 \quad ; \quad \tfrac{1000}{5} = 200 \).
Tous les rapports sont égaux à 200. C’est donc une situation de proportionnalité, de coefficient \(200\).
Voici un relevé de prix pour des stylos :
| Nombre de stylos | 3 | 5 | 7 |
|---|---|---|---|
| Prix (€) | 4,50 | 7,50 | 11 |
Cette situation est-elle proportionnelle ?
On calcule les rapports Prix / Nombre :
\( \tfrac{4,5}{3} = 1,5 \quad ; \quad \tfrac{7,5}{5} = 1,5 \quad ; \quad \tfrac{11}{7} \approx 1,57 \).
Les deux premiers sont égaux, mais le dernier diffère. Ce n’est pas une situation de proportionnalité.
On donne la conversion d’euros en dollars :
| Euros (€) | 10 | 20 | 50 |
|---|---|---|---|
| Dollars ($) | 12 | 24 | 60 |
Est-ce une situation de proportionnalité ?
On calcule les rapports Dollars / Euros :
\( \tfrac{12}{10} = 1,2 \quad ; \quad \tfrac{24}{20} = 1,2 \quad ; \quad \tfrac{60}{50} = 1,2 \).
Tous les rapports sont égaux à 1,2. C’est une situation de proportionnalité, de coefficient \(1,2\).
Un élève lit un roman et on mesure son temps de lecture et le nombre de pages lues :
| Temps (min) | 20 | 40 | 60 |
|---|---|---|---|
| Pages lues | 18 | 36 | 60 |
Cette situation est-elle proportionnelle ?
On calcule les rapports Pages / Temps :
\( \tfrac{18}{20} = 0,9 \quad ; \quad \tfrac{36}{40} = 0,9 \quad ; \quad \tfrac{60}{60} = 1 \).
Les deux premiers rapports sont égaux, mais le dernier est différent. Ce n’est pas une situation de proportionnalité.
Le graphique ci-dessous représente le prix (€) en fonction de la masse (kg). Dire s’il s’agit d’une situation de proportionnalité.
Est-ce une situation de proportionnalité ? Justifie à la lecture du graphique.
Oui. Les trois points sont alignés et la droite qui les porte passe par l’origine \((0,0)\). C’est donc une situation de proportionnalité.
Le graphique ci-dessous relie la dépense (€) au nombre d’articles. Dire s’il s’agit d’une proportionnalité.
Est-ce une situation de proportionnalité ? Justifie à la lecture du graphique.
Non. Les points sont alignés entre eux, mais la droite ne passe pas par l’origine \((0,0)\). Ce n’est donc pas une proportionnalité.
Dire si la relation distance-temps est proportionnelle.
Est-ce une situation de proportionnalité ? Justifie à la lecture du graphique.
Non. Les points ne sont pas alignés sur une même droite (par exemple, le point correspondant à \(x=3\) n’est pas sur la droite passant par les deux premiers). Ce n’est donc pas une proportionnalité.
Dire si la relation est proportionnelle.
Est-ce une situation de proportionnalité ? Justifie à la lecture du graphique.
Oui. Les points sont alignés et la droite qui les porte passe par l’origine \((0,0)\). C’est une proportionnalité.
Dire si la relation est proportionnelle.
Est-ce une situation de proportionnalité ? Justifie à la lecture du graphique.
Oui. Les points sont alignés et la droite passe par l’origine \((0,0)\). C’est donc une proportionnalité.
Dire si la relation est proportionnelle.
Est-ce une situation de proportionnalité ? Justifie à la lecture du graphique.
Non. Les points sont alignés mais la droite ne passe pas par l’origine \((0,0)\). Ce n’est donc pas une proportionnalité.
Pour 1 m : \(87,5 \div 2,5 = 35\). Donc pour 4 m : \(4 \times 35 = 140\). Réponse : 140 €.
1. On double la quantité de sucre (250 → 500), donc on double les œufs : \(3 \times 2 = 6\). 2. On triple les œufs (3 → 9), donc on triple le sucre : \(250 \times 3 = 750\). Réponse : 6 œufs et 750 g de sucre.
On sait que pour 100 km → 6,8 L. Donc pour 200 km : \(6,8 \times 2 = 13,6\). Pour 60 km : \(6,8 \times 0,6 = 4,08\). Total = \(13,6 + 4,08 = 17,68\). Réponse : 17,68 L.
| Copies | 45 | 15 | 120 |
|---|---|---|---|
| Prix (€) | 2,70 | 0,90 | 7,20 |
2 h 15 = 135 min. En 45 min → \(9 \div 3 = 3\) km. En 60 min (1h) → \(3 \times \tfrac{60}{45} = 4\) km. Donc en 5 h → \(5 \times 4 = 20\). Réponse : 20 km.
En 1 h : \(240 \div 3 = 80\). Donc en 7 h : \(7 \times 80 = 560\). Réponse : 560 bouteilles.
En 15 min → \(72 \div 3 = 24\) km. Donc en 2 h (120 min) = \(8 \times 24 = 192\). Réponse : 192 km.
| Quantité | 2 | 5 | 8 | ? |
|---|---|---|---|---|
| Prix (€) | 7 | ? | 28 | 42 |
Pour passer de 2 à 8, on multiplie par 4 : \(7 \times 4 = 28\) (ok). Pour passer de 2 à 5, on multiplie par 2,5 : \(7 \times 2,5 = 17,5\). Pour passer de 28 à 42, on multiplie par 1,5 : donc quantité = \(8 \times 1,5 = 12\). Réponses : 17,5 et 12.
En 1 cheval : \(36 \div 4 = 9\) kg. Pour 9 chevaux : \(9 \times 9 = 81\). Réponse : 81 kg.
En 4 voyages : \(15 \div 3 = 5\) tonnes. Donc en 20 voyages = \(5 \times 5 = 25\). Réponse : 25 tonnes.
| Kg de pommes | 2 | 5 | ? | 12 |
|---|---|---|---|---|
| Prix (€) | 6 | ? | 21 | ? |
De 2 kg → 6 € → coefficient = \(6 \div 2 = 3\). Donc prix = \(3 \times 5 = 15\) € ; quantité = \(21 \div 3 = 7\) kg ; prix = \(12 \times 3 = 36\) €.
Tableau complété :
| Kg de pommes | 2 | 5 | 7 | 12 |
|---|---|---|---|---|
| Prix (€) | 6 | 15 | 21 | 36 |
Coefficient kg → € : 3 ; coefficient € → kg : \( \tfrac{1}{3} \).
| Heures | 2 | ? | 7 | 10 |
|---|---|---|---|---|
| Km parcourus | 150 | 300 | ? | ? |
En 2 h → 150 km → coefficient = \(150 \div 2 = 75\). Donc en 4 h : \(4 \times 75 = 300\) km ; en 7 h : \(7 \times 75 = 525\) km ; en 10 h : \(10 \times 75 = 750\) km.
Tableau complété :
| Heures | 2 | 4 | 7 | 10 |
|---|---|---|---|---|
| Km parcourus | 150 | 300 | 525 | 750 |
Coefficient h → km : 75 ; coefficient km → h : \( \tfrac{1}{75} \).
| Minutes | 5 | 15 | ? | 40 |
|---|---|---|---|---|
| Pages lues | 12 | ? | 60 | ? |
En 5 min → 12 pages → coefficient = \(12 \div 5 = 2,4\). Donc en 15 min : \(15 \times 2,4 = 36\) pages ; pour 60 pages → \(60 \div 2,4 = 25\) min ; en 40 min : \(40 \times 2,4 = 96\) pages.
Tableau complété :
| Minutes | 5 | 15 | 25 | 40 |
|---|---|---|---|---|
| Pages lues | 12 | 36 | 60 | 96 |
Coefficient min → pages : 2,4 ; coefficient pages → min : \( \tfrac{1}{2,4} \).
| Sacs | 3 | ? | 12 | 20 |
|---|---|---|---|---|
| Kilos de riz | 18 | ? | 72 | ? |
En 3 sacs → 18 kg → coefficient = \(18 \div 3 = 6\). Donc pour 6 sacs : \(6 \times 6 = 36\) kg ; pour 20 sacs : \(20 \times 6 = 120\) kg.
Tableau complété :
| Sacs | 3 | 6 | 12 | 20 |
|---|---|---|---|---|
| Kilos de riz | 18 | 36 | 72 | 120 |
Coefficient sacs → kg : 6 ; coefficient kg → sacs : \( \tfrac{1}{6} \).
| Activité | Durée (min) | Angle (°) |
|---|---|---|
| Sommeil | 480 | |
| Cours | 360 | |
| Devoirs | 90 | |
| Écrans | 120 | |
| Sport | 60 | |
| Repas & transports | 270 | |
| Autres | 60 | |
| Total | 1440 | 360° |
Coefficient : \( \dfrac{360}{1440} = 0,25 \). On multiplie chaque durée par 0,25 pour obtenir l’angle.
| Activité | Durée (min) | Angle (°) |
|---|---|---|
| Sommeil | 480 | 120° |
| Cours | 360 | 90° |
| Devoirs | 90 | 22,5° |
| Écrans | 120 | 30° |
| Sport | 60 | 15° |
| Repas & transports | 270 | 67,5° |
| Autres | 60 | 15° |
| Total | 1440 | 360° |
| Dépense | Montant (€) | Angle (°) |
|---|---|---|
| Loyer | 900 | |
| Nourriture | 600 | |
| Transport | 300 | |
| Loisirs | 200 | |
| Épargne | 1000 | |
| Total | 3000 | 360° |
Coefficient : \( \dfrac{360}{3000} = 0,12 \). On multiplie chaque montant par 0,12.
| Dépense | Montant (€) | Angle (°) |
|---|---|---|
| Loyer | 900 | 108° |
| Nourriture | 600 | 72° |
| Transport | 300 | 36° |
| Loisirs | 200 | 24° |
| Épargne | 1000 | 120° |
| Total | 3000 | 360° |
| Parfum | Ventes | Angle (°) |
|---|---|---|
| Vanille | 120 | |
| Chocolat | 90 | |
| Fraise | 60 | |
| Pistache | 30 | |
| Mangue | 50 | |
| Total | 350 | 360° |
Coefficient : \( \dfrac{360}{350} \approx 1,029 \). On multiplie chaque effectif par 1,029.
| Parfum | Ventes | Angle (°) |
|---|---|---|
| Vanille | 120 | 123,4° |
| Chocolat | 90 | 92,6° |
| Fraise | 60 | 61,7° |
| Pistache | 30 | 30,9° |
| Mangue | 50 | 51,4° |
| Total | 350 | 360° |
| Transport | Élèves | Angle (°) |
|---|---|---|
| Bus | 180 | |
| Voiture | 90 | |
| Vélo | 60 | |
| Marche | 120 | |
| Trottinette | 30 | |
| Total | 480 | 360° |
Coefficient : \( \dfrac{360}{480} = 0{,}75 \). On multiplie chaque effectif par 0,75.
| Transport | Élèves | Angle (°) |
|---|---|---|
| Bus | 180 | 135° |
| Voiture | 90 | 67,5° |
| Vélo | 60 | 45° |
| Marche | 120 | 90° |
| Trottinette | 30 | 22,5° |
| Total | 480 | 360° |
| Genre | Emprunts | Angle (°) |
|---|---|---|
| Romans | 340 | |
| BD | 220 | |
| Documentaires | 140 | |
| Jeunesse | 180 | |
| Poésie | 20 | |
| Total | 900 | 360° |
Coefficient : \( \dfrac{360}{900} = 0{,}4 \). On multiplie chaque effectif par 0,4.
| Genre | Emprunts | Angle (°) |
|---|---|---|
| Romans | 340 | 136° |
| BD | 220 | 88° |
| Documentaires | 140 | 56° |
| Jeunesse | 180 | 72° |
| Poésie | 20 | 8° |
| Total | 900 | 360° |
| Type de déchet | Masse (kg) | Angle (°) |
|---|---|---|
| Papier & carton | 240 | |
| Plastique | 200 | |
| Verre | 160 | |
| Métal | 120 | |
| Compost | 80 | |
| Total | 800 | 360° |
Coefficient : \( \dfrac{360}{800} = 0{,}45 \). On multiplie chaque masse par 0,45.
| Type de déchet | Masse (kg) | Angle (°) |
|---|---|---|
| Papier & carton | 240 | 108° |
| Plastique | 200 | 90° |
| Verre | 160 | 72° |
| Métal | 120 | 54° |
| Compost | 80 | 36° |
| Total | 800 | 360° |
Observe le diagramme puis réponds aux questions.
1. La plus grande part est le cinéma, car il représente 30 % du budget.
2. \(25\%\times360^\circ = 90^\circ\). L’angle du secteur « Jeux vidéo » est donc 90°.
3. La lecture correspond à 20 % du budget total.
4. \(15\%\times200 = 30\). Le sport représente donc 30 € de dépenses.
Observe le diagramme puis réponds.
1. L’ordre est : Marche (40 %) > Bus (30 %) > Vélo (20 %) > Voiture (10 %).
2. \(10\%\times360^\circ = 36^\circ\). Le secteur « Voiture » mesure donc 36°.
3. \(30\%\times600 = 180\). Il y a donc 180 élèves qui viennent en bus.
4. \(40\%+20\%=60\%\). La marche et le vélo représentent donc ensemble 60 %.
Observe le diagramme puis réponds.
1. La plus grande part est le streaming avec 35 %.
2. \(25\%\times360^\circ = 90^\circ\). Le secteur « Réseaux sociaux » mesure donc 90°.
3. \(20\%\times180 = 36\). Les jeux représentent donc 36 minutes.
4. \(35\%+20\% = 55\%\). Les activités non ludiques représentent 55 % du temps.
Observe le diagramme puis réponds aux questions.
1. La plus grande part est l’alimentation avec 35 %.
2. \(25\%\times360^\circ = 90^\circ\). L’angle du logement est donc 90°.
3. \(20\%\times2000 = 400\). Les loisirs représentent 400 €.
4. \(35\%+20\%=55\%\). \(55\%\times2000 = 1100\). L’alimentation et les transports représentent donc 1100 €.
Un sondage a été fait auprès de 1000 personnes sur leur sport préféré. Observe le diagramme.
1. Le football est le sport préféré le plus représenté avec 40 %.
2. \(25\%\times1000 = 250\). 250 personnes préfèrent le basket.
3. \(20\%+15\%=35\%\). Cela représente 35 % des personnes interrogées.
4. \(40\%\times360^\circ = 144^\circ\). L’angle du football est donc 144°.
Un magasin vend 4 types de produits. Observe le diagramme circulaire et réponds.
1. Les vêtements représentent 50 % du total, soit la moitié des ventes.
2. \(15\%+15\%=30\%\). Accessoires et produits maison représentent 30 % du total.
3. \(20\%\times2000 = 400\). 400 articles vendus sont des chaussures.
4. \(15\%\times360^\circ = 54^\circ\). L’angle du secteur « Accessoires » est 54°.
| % | 100% | 10% |
|---|---|---|
| Valeur | 260 | 26 |
| % | 100% | 25% |
|---|---|---|
| Valeur | 48 | 12 |
| % | 100% | 75% |
|---|---|---|
| Valeur | 200 | 150 |
| % | 100% | 150% |
|---|---|---|
| Valeur | 120 | 180 |
| % | 100% | 20% |
|---|---|---|
| Valeur | 90 | 18 |
| % | 100% | 50% |
|---|---|---|
| Valeur | 144 | 72 |
| % | 100% | 200% |
|---|---|---|
| Valeur | 75 | 150 |
| % | 100% | 300% |
|---|---|---|
| Valeur | 40 | 120 |
| % | 100% | 12,5% |
|---|---|---|
| Valeur | 64 | 8 |
| % | 100% | 30% |
|---|---|---|
| Valeur | 250 | 75 |
| % | 100% | 60% |
|---|---|---|
| Valeur | 180 | 108 |
| % | 100% | 80% |
|---|---|---|
| Valeur | 75 | 60 |
| % | 100% | 5% |
|---|---|---|
| Valeur | 200 | 10 |
| % | 100% | 40% |
|---|---|---|
| Valeur | 350 | 140 |
| % | 100% | 120% |
|---|---|---|
| Valeur | 90 | 108 |
| % | 100% | 250% |
|---|---|---|
| Valeur | 24 | 60 |
| % | 100% | 110% |
|---|---|---|
| Valeur (€) | 800 | 880 |
| % | 100% | 75% |
|---|---|---|
| Valeur (€) | 120 | 90 |
| % | 100% | 150% |
|---|---|---|
| Valeur (€) | 600 | 900 |
| % | 100% | 80% |
|---|---|---|
| Valeur (€) | 1500 | 1200 |
| % | 100% | 115% |
|---|---|---|
| Valeur (€) | 400 | 460 |
| % | 100% | 70% |
|---|---|---|
| Valeur (€) | 90 | 63 |
| % | 100% | 300% |
|---|---|---|
| Valeur (€) | 150 | 450 |
| % | 100% | 50% |
|---|---|---|
| Valeur (€) | 700 | 350 |
| % | 100% | 112,5% |
|---|---|---|
| Valeur (€) | 480 | 540 |
| % | 100% | 90% |
|---|---|---|
| Valeur (€) | 360 | 324 |
| % | 100% | 200% |
|---|---|---|
| Valeur (€) | 85 | 170 |
| % | 100% | 60% |
|---|---|---|
| Valeur (€) | 250 | 150 |
| % | 100% | 105% |
|---|---|---|
| Valeur (€) | 2000 | 2100 |
| % | 100% | 87,5% |
|---|---|---|
| Valeur (€) | 640 | 560 |
| % | 100% | 125% |
|---|---|---|
| Valeur (€) | 180 | 225 |
| % | 100% | 25% |
|---|---|---|
| Valeur (€) | 400 | 100 |
Trace une droite (d).

Recopier et compléter les conversions suivantes :
Recopier et compléter les conversions suivantes :
Recopier et compléter les conversions suivantes :
Recopier et compléter les conversions suivantes :
Recopier et compléter les conversions suivantes :
En utilisant les notations du cours (\(\perp\) ou \(\parallel\)), indique les couples de droites qui te semblent parallèles ou perpendiculaires.

Dans quel(s) cas sait-on que la droite (d) est la médiatrice du segment [AB] ? Justifier.
Vous justifierez chaque réponse.








Calculer le périmètre des figures suivantes.
Calculer le périmètre des figures suivantes.
Dans chaque cas, calculer une valeur approchée au dixième près de la longueur, en cm, de chaque cercle.
Construire en vraie grandeur la figure suivante puis calculer son périmètre.
Une table ronde a un diamètre de 1,20 m. Elle peut s'ouvrir en deux demi-cercles, entre lesquels on peut placer des rallonges de 0,60 m de large et de 1,20 m de longueur.
Recopier les figures puis tracer en rouge les axes de symétrie des figures suivantes.